Relationship between severity of hypertension and renal impairment in preeclampsia

Authors

  • Khairun Nahar Department of Obstetrics and Gynecology, Dhaka Medical College, Dhaka
  • Ferdousi Islam Department of Obstetrics and Gynecology, Dhaka Medical College, Dhaka
  • Naila Atik Khan Department of Biochemistry and Molecular Biology, Bangabandhu Sheikh Mujib Medical University, Shahbag, Dhaka

DOI:

https://doi.org/10.3329/bsmmuj.v11i3.36256

Keywords:

Creatinine, Hypertension, Preeclampsia, Renal, Uric acid

Abstract

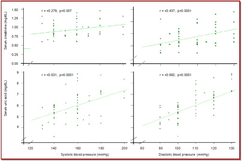
The aim of this study was to determine the relationship between the severity of hypertension and renal impairment in preeclampsia. This study was conducted on 92 diagnosed cases of mild (n=42) and severe (n=50) preeclampsia patients from August 2010 to July 2011. All the patients were almost identical in terms of age and socioeconomic status. The results of the study showed that the mean serum creatinine and uric acid levels were significantly high in severe preeclampsia patient compared to mild preeclampsia and both systolic and diastolic blood pressures had the positive and significant effects on the serum creatinine and uric acid levels. In conclusion, impairment of renal function has the positive and significant relationship with the severity of blood pressure in the preeclamptic patient.

Downloads

Download data is not yet available.
Abstract
709
Download
141 Read
38

Additional Files

Published

01-09-2018

How to Cite

Nahar, K., Islam, F., & Khan, N. A. (2018). Relationship between severity of hypertension and renal impairment in preeclampsia. Bangabandhu Sheikh Mujib Medical University Journal, 11(3), 213–217. https://doi.org/10.3329/bsmmuj.v11i3.36256

Issue

Section

Original Article

Most read articles by the same author(s)

Similar Articles

<< < 16 > >> 

You may also start an advanced similarity search for this article.