Synthesis of hydantoin and thiohydantoin related compounds from benzil and study of their cytotoxicity
DOI:
https://doi.org/10.3329/bjp.v1i1.481Keywords:
Benzyl, Cytotoxicity, Hydantoin, ThiohydantoinAbstract
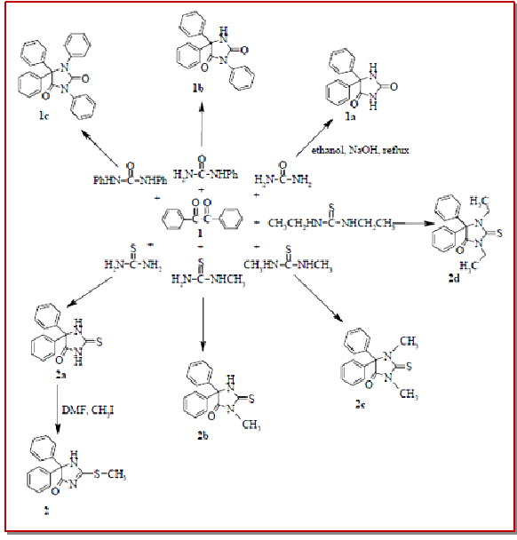
Condensation of benzil (1) with urea, monophenyl urea and diphenyl urea in the presence of absolute ethanol using 30% aqueous NaOH gave the products 1a, 1b and 1c respectively and also with thiourea, monomethyl thiourea, dimethyl thiourea and diethyl thiourea the products 2a, 2b, 2c and 2d were obtained. Methylation of the product, 2a in the presence of dimethyl formamide (DMF) using K2CO3 formed 2. The compounds 1b, 1c, 2b, 2c and 2 showed highly cytotoxic activity and the compounds 1a, 2a, 2d showed relatively low cytotoxic activity against brine shrimp lethality bioassay.
Downloads
749
412 Read
41
References
Anderson JE, Goetz CM, McLaughlin JL, Suffness M. Phytochemical analysis. Oxford University Press, 4th ed. 1991, p 107.
Furniss BS, Hannaford AJ, Rogers V, Smith PWG, Tatehell AR. Vogel’s Textbook of practical organic chemistry. Longman Press, 4th ed., 1998, pp 734-35.
Islam MR, Khayer K, Mahmud MI. Reaction of isatin with 2-aminothiophenol leading to spiroheterocyclic having anti-cancer activity. Jahangirnagar Univ J Sci. 2001a; 24: 17-22.
Islam R, Khayer K, Abedin MJ, Islam MR. Synthesis of (5-spiro(5´-methylisatin)-4-acetyl-2-(acetylamino)Δ2-1,3,4-thiadiazoline and 5-spiro (5´-methylisatin)-4-acetyl-2-(5´-methylisatin-3´-hydrazineo)-Δ2-1,3,4-thiadiazoline. Indian J Chem. 2001b; 40B: 240-42.
Lingcon MH, Islam R, Khayer K, Islam MR. Cyclization of substituted indole-2-one-3-thiosemicarbazones to noble heterocyclic systems. J Bangladesh Chem Soc. 2001; 14: 127-32.
Muccioli GG, Poupaert JH, Wouters J, Norberg B, Poppitz W, Scriba GKE, Lambert DM. A rapid and efficient microwave-assisted synthesis of hydantoins and thiohydantoins. Tetrahedron 2003; 59: 1301-07.
Shukla SP, Trivedi GL. Modern organic chemistry. 1st ed. S. Chand and Company Ltd., 1997, p 40.
How to Cite
Issue
Section
License
Authors who publish with this journal agree to the following terms:
- Authors retain copyright and grant the journal right of first publication with the work simultaneously licensed under a Creative Commons Attribution License that allows others to share the work with an acknowledgement of the work's authorship and initial publication in this journal.
- Authors are able to enter into separate, additional contractual arrangements for the non-exclusive distribution of the journal's published version of the work (e.g., post it to an institutional repository or publish it in a book), with an acknowledgement of its initial publication in this journal.
- Authors are permitted and encouraged to post their work online (e.g., in institutional repositories or on their website) prior to and during the submission process, as it can lead to productive exchanges, as well as earlier and greater citation of published work (See The Effect of Open Access).