Phytochemical analysis, cytotoxic, antioxidant and anti-diabetic activities of the aerial parts of Sorghum halepense
Abstract
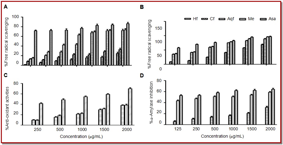
Phytochemical screening, cytotoxic activity, total phenolic content, antioxidant and anti-diabetic activities of the Sorghum halepense methanolic extract and its different fractions were evaluated. Methanolic extract and its various fractions revealed the presence of reducing sugars, tannins, steroids, glycosides, flavonoids in the methanolic extract where they were absent in n-hexane fraction except flavonoids. Gums and saponins were absent in all the samples. Methanolic extract indicated the highest cytotoxic (80.7 ± 1.3%) and anti-diabetic (62.5%) activities. The maximum total phenolic contents (28.7 ± 1.4 mg/mL) were found in the chloroform fraction. An aqueous fraction expressed the highest antioxidant activity 74.1 and 97.1% free radical scavenging properties in DPPH and ABTS assays respectively whereas, in the case of H2O2, methanolic extract indicated maximum (36.9%) activity. In conclusion, the extract of aerial parts of S. halepense is a source of compounds against cancer, diabetic and free radical associated disorders.
Video Clip of Methodology:
DPPH assay: 8 min 47 sec: Full Screen Alternate
Downloads
415
332 Read
17
References
Ahangarpour A, Mohammadian M, Dianat M. Antidiabetic effect of hydroalcholic Urtica dioica leaf extract in male rats with fructose-induced insulin resistance. Iranian J Med Sci. 2012; 37: 181.
Alam F, Saqib QN. Antidiabetic potential of Gaultheria trichophylla in mice. Bangladesh J Pharmacol. 2017; 12: 292-98.
Al-Snafi A E. Chemical constituents and pharmacological activities of milfoil (Achillea santolina). A Review. Int J Pharm Tech Res. 2013; 5: 1373-77.
Al-Snafi A E. The pharmacological and therapeutic importance of Agrimonia eupatoria: A review. Asian J Pharm Sci Technol. 2015; 5: 112-17.
Annapandian V, Sundaram RS. In vitro antidiabetic activity of polar and nonpolar solvent extracts from Leucas Aspera (Willd.) link leaves. Pharmacogn Res. 2017; 9: 261-65.
Baerson SR, Dayan FE, Rimando AM, Nanayakkara NP, Liu CJ, Schröder J, Fishbein M, Pan Z, Kagan IA, Pratt LH, Cordonnier-Pratt MM, Duke SO. A functional genomics investigation of allelochemical biosynthesis in Sorghum bicolor root hairs. J Biol Chem. 2008; 283: 3231-47.
Benavente-García O, Castillo J, Marin FR, Ortuño A, Del Río JA. Uses and properties of citrus flavonoids. J Agric Food Chem. 1997; 45: 4505-15.
Bouabid K, Lamchouri F, Toufik H, Boulfia M, Senhaji S, Faouzi ME. In vivo anti-diabetic effect of aqueous and methanolic macerated extracts of Atractylis gummifera. Bangladesh J Pharmacol. 2019; 14: 67-73.
Cheng AY, Fantus IG. Oral antihyperglycemic therapy for type 2 diabetes mellitus. Can Med Assoc J. 2005; 172: 213-26.
Chung IM, Kim EH, Yeo MA, Kim SJ, Seo MC, Moon HI. Antidiabetic effects of three Korean sorghum phenolic extracts in normal and streptozotocin-induced diabetic rats. Food Res Int. 2011; 44: 127-132.
El Omari N, Sayah K, Fettach S, El Blidi O, Bouyahya A, Faouzi MEA, Barkiyou M. Evaluation of in vitro antioxidant and antidiabetic activities of Aristolochia longa extracts. Evid Based Complement Altern Med. 2019; 2019.
Funke I, Melzig MF. Traditionally used plants in diabetes therapy: Phytotherapeutics as inhibitors of alpha-amylase activity. Rev Bras Farmacogn. 2006; 16: 1-5.
Gheldof N, Engeseth NJ. Antioxidant capacity of honeys from various floral sources based on the determination of oxygen radical absorbance capacity and inhibition of in vitro lipoprotein oxidation in human serum samples. J Agric Food Chem. 2002; 50: 3050-55.
Grover J, Yadav S, Vats V. Medicinal plants of India with anti-diabetic potential. J Ethnopharmacol. 2002; 81: 81-100.
Gyamfi MA, Yonamine M, Aniya Y. Free-radical scavenging action of medicinal herbs from Ghana: Thonningia sanguinea on experimentally-induced liver injuries. Gen Pharmacol. 1999; 32: 661-67.
Hagerman AE, Riedl KM, Jones GA, Sovik KN, Ritchard NT, Hartzfeld PW, Riechel TL. High molecular weight plant polyphenolics (tannins) as biological antioxidants. J Agric Food Chem. 1998; 46: 1887-92.
Hossain MA, Shah MD, Gnanaraj C, Iqbal M. In vitro total phenolics, flavonoids contents and antioxidant activity of essential oil, various organic extracts from the leaves of tropical medicinal plant Tetrastigma from Sabah. Asian Pac J Trop Biomed. 2011; 4: 717-21.
Ismail A, Marjan ZM, Foong CW. Total antioxidant activity and phenolic content in selected vegetables. Food Chem. 2004; 87: 581-86.
Kahkonen MP, Hopia AI, Vuorela HJ, Rauha JP, Pihlaja K, Kujala TS, Heinonen M. Antioxidant activity of plant extracts containing phenolic compounds. J Agric Food Chem. 1999; 47: 3954–62.
Kathirvel A, Sujatha V. In vitro assessment of antioxidant and antibacterial properties of Terminalia chebula Retz. leaves. Asian Pac J Trop Biomed. 2012; 2: 788-95.
Keawpradub N, Dej-adisai S, Yuenyongsawad S. Antioxidant and cytotoxic activities of Thai medicinal plants named Khaminkhruea: Arcangelisia flava, Coscinium blumeanum and Fibraurea tinctoria Songklanakarin. J Sci Technol. 2005; 27: 455-67.
Khan A, Khan RA, Ahmed M, Mushtaq N. In vitro antioxidant, antifungal and cytotoxic activity of methanolic extract of Calligonum polygonoides. Bangladesh J Pharmacol. 2015; 10: 316-20.
Kishore L, Kaur N, Kajal A, Singh R. Extraction, characterization and evaluation of Eruca sativa against streptozotocin-induced diabetic nephropathy in rat. Bangladesh J Pharmacol. 2017; 12: 216-27.
Krings U, Berger R. Antioxidant activity of some roasted foods. Food Chem. 2001; 72: 223-29.
Kwon YI, Apostolidis E, Shetty K. Evaluation of pepper (Capsicum annuum) for management of diabetes and hypertension. J Food Biochem. 2007; 31: 370-85.
Li BB, Smith B, Hossain MM. Extraction of phenolics from citrus peels: II. Enzyme-assisted extraction method. Sep Purif Technol. 2006; 48: 189-96.
Liu S, Manson JE, Lee IM, Cole SR, Hennekens CH, Willett WC, Buring JE. Fruit and vegetable intake and risk of cardiovascular disease: The Women's health study. Am J Clin Nutr. 2000; 72: 922-28.
MacDonald-Wicks LK, Wood LG, Garg ML. Methodology for the determination of biological antioxidant capacity in vitro: A review. J Sci Food Agric. 2006; 86: 2046-56.
Manikandan R, Anand AV, Kumar S. Phytochemical and in vitro anti-diabetic activity of Psidium guajava leaves. Pharmacogn J. 2016; 8; 392-94.
Meyer BN, Ferrigni NR, Putnam JE, Jacobsen LB, Nichols DE, McLaughlin JL. Brine shrimp: A convenient general bioassay for active plant constituents. Planta Med. 1982; 45: 31-34.
Moon JK, Shibamoto T. Antioxidant assays for plant and food components. J Agric Food Chem. 2009; 57: 1655-66.
Pereira JA, Oliveira I, Sousa A, Ferreira ICFR, Bento A, Estevinho L. Bioactive properties and chemical composition of six walnut (Juglans regia L.) cultivars. Food Chem Toxicol. 2008; 46: 2103-11.
Re R, Pellegrini N, Proteggente A, Pannala A, Yang M, Rice-Evans C. Antioxidant activity applying an improved ABTS radical cation decolorization assay. Free Radic Biol Med. 1999; 26: 1231-37.
Rice-Evans CA, Miller NJ, Paganga G. Structure-antioxidant activity relationships of flavonoids and phenolic acids. Free Radic Biol Med. 1996; 20: 933-56.
Salazar-Gómez A, Vargas-Díaz ME, Garduño-Siciliano L. Hypoglycemic potential of Trixis angustifolia aqueous extract in alloxan-induced diabetic mice. Bangladesh J Pharmacol. 2019; 14: 74-79.
Samal PK. Antioxidant activity of Strobilanthes asperrimus in albino rats. Asian J Pharm Res. 2013; 3: 71-74.
Sekhon-Loodu S, Rupasinghe H. Evaluation of antioxidant, antidiabetic and antiobesity potential of selected traditional medicinal plants. Front Nutr. 2019; 6: 53.
Shah MAR, Khan H, Khan S, Muhammad N, Ullah Khan F, Shahnaz, Muhammad A, Khan YM. Cytotoxic, anti-oxidant and phytotoxic effect of Solanum surattense Burm F fruit extracts. Int J Pharmacogn Phytochem. 2013; 28: 1154-58.
Siddhuraju P, Becker K. Antioxidant properties of various solvent extracts of total phenolic constituents from three different agroclimatic origins of drumstick tree (Moringa oleifera Lam.) leaves. J Agric Food Chem. 2003; 51: 2144-55.
Singh HP, Batish DR, Kohli R. Allelopathy in agroeco-systems: An overview. J Crop Prod. 2001; 4: 1-41.
Singleton V, Rossi JA. Colorimetry of total phenolics with phosphomolybdic-phosphotungstic acid reagents. Am J Enol Vitic. 1965; 16: 144-58.
Trease GE, Evans WC. Phytochemical screening. Pharmacognsy. 11th ed. London, Macmillian Publishers, 1989, pp 45-50.
Wettasinghe M, Shahidi F. Scavenging of reactive-oxygen species and DPPH free radicals by extracts of borage and evening primrose meals. Food Chem. 2000; 70: 17-26.
Wong SP, Leong LP, Koh JHW. Antioxidant activities of aqueous extracts of selected plants. Food Chem. 2006; 99: 775-83.
Zhang Z, Liao L, Moore J, Wu T, Wang Z. Antioxidant phenolic compounds from walnut kernels (Juglans regia L.). Food Chem. 2009; 113: 160-65.
Copyright (c) 2019 Muhammad Abdur Rehman Shah, Rahmat Ali Khan, Mushtaq Ahmed

This work is licensed under a Creative Commons Attribution 4.0 International License.
Authors who publish with this journal agree to the following terms:
- Authors retain copyright and grant the journal right of first publication with the work simultaneously licensed under a Creative Commons Attribution License that allows others to share the work with an acknowledgement of the work's authorship and initial publication in this journal.
- Authors are able to enter into separate, additional contractual arrangements for the non-exclusive distribution of the journal's published version of the work (e.g., post it to an institutional repository or publish it in a book), with an acknowledgement of its initial publication in this journal.
- Authors are permitted and encouraged to post their work online (e.g., in institutional repositories or on their website) prior to and during the submission process, as it can lead to productive exchanges, as well as earlier and greater citation of published work (See The Effect of Open Access).