Chemical synthesis, docking studies and biological effects of functionalized 1,3-diaryl-2-propen-1-ones on human colon cancer cells
DOI:
https://doi.org/10.3329/bjp.v10i1.21699Keywords:
1, 3-Diaryl-2-propen-1-ones, Anticancer agents, Indolyl chalcones, colon cancerAbstract
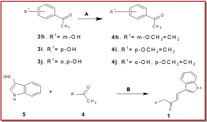
A series of 1, 3-diaryl-2-propen-1-ones was synthesised in order to obtain a new type of anticancer drug, designed with hybrid features to inhibit colon cancer activated receptor. Based on computational modelling and docking studies, potential inhibitors were synthesised and their biological activity evaluated. The structures of newly synthesized compounds were confirmed by 1HNMR, 13CNMR and Mass spectrometry. All analogues were evaluated for in vitro cytotoxicity against human colon (caco-2) cancer cell lines. Compounds 1b, 1f-1h, and 2i showed significant cytotoxicity. Chalcones 1b, 1f and 1g were identified as the most potent and selective anticancer agents with IC50 values <1 µg/mL and 1.5 µg/mL, against caco-2 cell line, respectively. In conclusion, this finding confirms the suitability of indolyl chalcone analogues as candidates for further investigation towards the management of colon cancer related diseases.
Downloads
574
259 Read
190

Published
How to Cite
Issue
Section
License
Authors who publish with this journal agree to the following terms:
- Authors retain copyright and grant the journal right of first publication with the work simultaneously licensed under a Creative Commons Attribution License that allows others to share the work with an acknowledgement of the work's authorship and initial publication in this journal.
- Authors are able to enter into separate, additional contractual arrangements for the non-exclusive distribution of the journal's published version of the work (e.g., post it to an institutional repository or publish it in a book), with an acknowledgement of its initial publication in this journal.
- Authors are permitted and encouraged to post their work online (e.g., in institutional repositories or on their website) prior to and during the submission process, as it can lead to productive exchanges, as well as earlier and greater citation of published work (See The Effect of Open Access).