Antibacterial activities, anti-oxidant contents and antioxidant properties of three traditional Chinese medicinal extracts
DOI:
https://doi.org/10.3329/bjp.v10i1.21324Keywords:
Antibacterial, Antioxidant, Chinese medicinal plant, polyphenols, flavonoidsAbstract
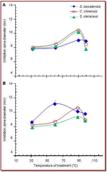
The present study was carried out to identify antibacterial and antioxidant characteristics of traditional aqueous extracts derived from three traditional Chinese medicinal plants (Scutellaria baicalensis, Coptis chinensis and Sonchus oleraceus). It was indicated that the S. oleraceus showed the highest antibacterial efficacy, especially against Staphylococcus aureus. The minimum inhibitory concentration (MIC) of the S. oleraceus was 5.0 mg/mL what was in correlation with the high total phenolic and flavonoid contents and CUPRAC value, and MIC of both S. baicalensis and C. chinensis was 7.5 mg/mL. The rational pH of the working S. oleraceus was acidic, while the other two preferred to neutral or alkaline environment. The reasonable preservation temperature of S. baicalensis should not beyond 60°C, while the other two below 90°C. Meanwhile, S. baicalensis had significant antioxidant activity with the highest CUPRAC and ·OH scavenging activity. These results had provided useful information on further drug discovery.
Downloads
821
463 Read
251

Published
How to Cite
Issue
Section
License
Authors who publish with this journal agree to the following terms:
- Authors retain copyright and grant the journal right of first publication with the work simultaneously licensed under a Creative Commons Attribution License that allows others to share the work with an acknowledgement of the work's authorship and initial publication in this journal.
- Authors are able to enter into separate, additional contractual arrangements for the non-exclusive distribution of the journal's published version of the work (e.g., post it to an institutional repository or publish it in a book), with an acknowledgement of its initial publication in this journal.
- Authors are permitted and encouraged to post their work online (e.g., in institutional repositories or on their website) prior to and during the submission process, as it can lead to productive exchanges, as well as earlier and greater citation of published work (See The Effect of Open Access).