Extract of Brassica rapa suppresses ovalbumin-induced asthma by down-regulating NF-kappaB and p38 MAPK activity
DOI:
https://doi.org/10.3329/bjp.v10i1.21214Keywords:
Asthma, Brassica rapa chinensis, NF-?B, p38MAPK, Th2 cytokinesAbstract
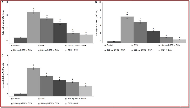
Asthma is one of the most common chronic inflammatory diseases characterized by airway infiltration of inflammatory cells inducing hyper-responsiveness. Due to the inefficacy of currently used drugs to definitely cure asthma, there is an insistent need for identification of novel therapies. In the present research, efficiency of Brassica rapa extract in asthma-induced mouse model was investigated. Asthma was induced in mice by ovalbumin induction. The extract (125-500 mg/kg) effectively reduced ovalbumin-specific IgE in serum and levels of interleukins (IL): IL-4, IL-5 and IL-13 in bronchoalveolar lavage fluid (BALF). B. rapa extract inhibited inflammatory cell infiltration in BALF and also improved lung compliance and airway resistance. The extract caused marked reduction in the expression levels of phosphorylated ERK, p38, I?B-? and NF-?B, however dose-dependent activation of JNK was observed. The extract of B. rapa thus was effective in suppressing ovalbumin-induced asthma.
Downloads
476
216 Read
125

Published
How to Cite
Issue
Section
License
Authors who publish with this journal agree to the following terms:
- Authors retain copyright and grant the journal right of first publication with the work simultaneously licensed under a Creative Commons Attribution License that allows others to share the work with an acknowledgement of the work's authorship and initial publication in this journal.
- Authors are able to enter into separate, additional contractual arrangements for the non-exclusive distribution of the journal's published version of the work (e.g., post it to an institutional repository or publish it in a book), with an acknowledgement of its initial publication in this journal.
- Authors are permitted and encouraged to post their work online (e.g., in institutional repositories or on their website) prior to and during the submission process, as it can lead to productive exchanges, as well as earlier and greater citation of published work (See The Effect of Open Access).