Elemental compositions and antianemic property of Harungana madagascariensis stem bark

Authors

  • Ezekiel Olugbenga Iwalewa Department of Pharmacology, Obafemi Awolowo University, Ile-Ife, Nigeria
  • Nusrat O. Omisore Department of Pharmacology, Obafemi Awolowo University, Ile-Ife, Nigeria.
  • Oluwatoyin M. Daniyan Department of Pharmacology, Obafemi Awolowo University, Ile-Ife, Nigeria.
  • Clement Oladapo Adewunmi Drug Research and Production Unit, O. A. U., Ile-Ife, Nigeria.
  • Bamigboye J. Taiwo Department of Pharmaceutical Chemistry, Faculty of Pharmacy, Obafemi Awolowo University, Ile-Ife, Nigeria.
  • Oluwatobi A. Fatokun Department of Pharmacology, Obafemi Awolowo University, Ile-Ife, Nigeria.
  • Isaac O. Oluborode Department of Pharmacology, Obafemi Awolowo University, Ile-Ife, Nigeria.

DOI:

https://doi.org/10.3329/bjp.v4i2.1641

Keywords:

Antienemic, Harungana madagascariensis, X-ray fluorescence, Stem bark

Abstract

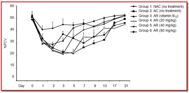
The concentrations of 15 elements and heavy metals in the stem bark of Harungana madagascariensis were determined using an energy-dispersive X-ray fluorescence (EDXRF) spectrometer. The antianemic activity was done using the changes in hematological parameters (PCV, RBC and hemoglobin) influenced by phenylhydrazine HCL (80 mg/kg) and malaria parasites-induced anemia. Results show Cd, Ni, Mo, Cr and Br were in the range of 0.02–0.9 mg/g, while Pb, Zn, Fe, Cu and hemoglobin were in the range of 1.5–7.2 mg/g. The elements with very high concentration were Ca, K, Sr, Mn and Cl and were in the range of 10.5–774.3 mg/g. Remarkable antianemic activity was obtained with PCV of 40–48%, RBC count of 81-155 x 104 and hemoglobin value of 57-66 g/dL after treatment; compared with 30% PCV, 67 x 104 RBC count and 36.5 g/dL hemoglobin value obtained for the untreated control animals. Our results suggest that H. madagascariensis stem bark extract constituents exhibit antianemic activity.

Downloads

Download data is not yet available.
Abstract
395
Download
431 Read
101

Author Biographies

Ezekiel Olugbenga Iwalewa, Department of Pharmacology, Obafemi Awolowo University, Ile-Ife, Nigeria

Senior Lecturer

Nusrat O. Omisore, Department of Pharmacology, Obafemi Awolowo University, Ile-Ife, Nigeria.

Lecturer

Oluwatoyin M. Daniyan, Department of Pharmacology, Obafemi Awolowo University, Ile-Ife, Nigeria.

Lecturer

Clement Oladapo Adewunmi, Drug Research and Production Unit, O. A. U., Ile-Ife, Nigeria.

Professor

Bamigboye J. Taiwo, Department of Pharmaceutical Chemistry, Faculty of Pharmacy, Obafemi Awolowo University, Ile-Ife, Nigeria.

Lecturer

Oluwatobi A. Fatokun, Department of Pharmacology, Obafemi Awolowo University, Ile-Ife, Nigeria.

Pharmacist

Isaac O. Oluborode, Department of Pharmacology, Obafemi Awolowo University, Ile-Ife, Nigeria.

Pharmacist

Published

2009-07-01

How to Cite

Iwalewa, Ezekiel Olugbenga, et al. “Elemental Compositions and Antianemic Property of Harungana Madagascariensis Stem Bark”. Bangladesh Journal of Pharmacology, vol. 4, no. 2, July 2009, pp. 115-21, doi:10.3329/bjp.v4i2.1641.

Issue

Section

Research Articles