Effect of hydro-alcoholic extract of Ziziphus spina-christi against scopolamine-induced anxiety in rats
DOI:
https://doi.org/10.3329/bjp.v11i2.26505Keywords:
Anxiety, Rat, Scopolamine, Ziziphus spina-christiAbstract
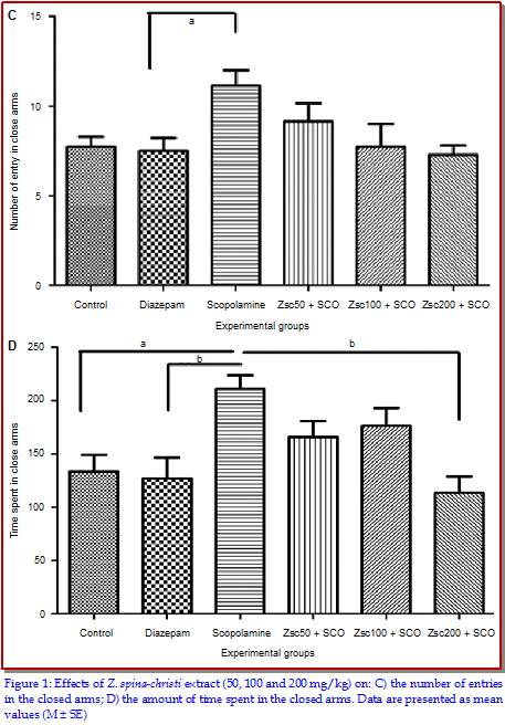
The aim of this study was to observe the effect of Ziziphus spina-christi extract against anxiety related behavior induced by scopolamine. Rats were randomly divided into six groups, each group consists of eight rats. Vehicle group received distilled water, negative control received scopolamine (1 mg/kg) and positive control received diazepam (1 mg/mL). Experimental groups received Z. spina-christi extract (50, 100 and 200 mg/kg IP) 30 min after scopolamine injection. Anxiety related behaviors were assessed using the elevated plus maze. The rotarod test was used to evaluate motor coordination. Administration of Z. spina-christi extract (200 mg/kg) significantly increased the time spent in the open arm of elevated plus maze. The extract also reduced the percentage of closed arms entries and time spent in the closed arms. Different concentration of Z. spina-christi extract didnt affect motor coordination and balance. Hydro-alcoholic extract of Z. spina-christi significantly ameliorate scopolamine-induced anxiety.
Video Clip of Methodology:
Elevated plus maze: 1 min 58 sec Full Screen Alternate
Downloads
444
309 Read
183
References
Abdel-Wahhab A, Omara EA, Abdel-Galil MM, Hassan SH, Nada SA, Saeed A, ElSayed M. Zizyphus Spina-Christi extract protects against aflatoxin b1-intitiated hepatic carcinogenicity. Afr J Tradit Complement Altern Med. 2007; 4: 24856.
Abdel-Zaher AO, Salim SY, Assaf MH, Abdel-Hady RH. Anti-diabetic activity and toxicity of Zizyphus spina-christi leaves. J Ethnopharmacol. 2005; 101: 129-38.
Adzu B, Amos S, Amizan MB, Gamaniel K. Evaluation of the anti-diarrhoeal effects of Zizyphus spina-christi stem bark in rats. Acta Tropica. 2003; 87: 24550.
Adzu B, Amos S, Dzarma S, Wambebe C, Gamaniel K. Effect of Zizyphus spina-christi Willd aqueous extract on the central nervous system in mice. J Ethnopharmacol. 2002; 79: 1316.
Adzu B, Amos S, Wambebe C, Gamaniel K. Antinociceptive activity of Zizyphus spina-christi root bark extract. Fitoterapia. 2001; 72: 34450.
Alhakmani F, Khan SA, Ahmad A. Determination of total phenol, in-vitro anti-oxidant and anti-inflammatory activity of seeds and fruits of Zizyphus spina-christi grown in Oman. Asian Pac J Trop Biomed. 2014; 4: 656-60.
Bhandari SS, Kabra MP. To evaluate anti-anxiety activity of thymol. JAD. 2014: 136-40.
Cardozoa ML, Ordoñeza RM, Albertoa MR, Zampinia C, Isla I. Anti-oxidant and anti-inflammatory activity characterization and genotoxicity evaluation of Ziziphus mistol ripe berries, exotic Argentinean fruit. Food Res Int. 2011; 44: 206371
Dahiru D, Obidoa O, Evaluation of the anti-oxidant effects of Ziziphus mauritiana Lam. leaf extracts against chronic ethanol-induced hepatotoxicity in rat liver. Afr J Tradit Complement Altern Med. 2008; 5: 3945.
Dangoggo SM, Hassan LG, Sadiq IS, Manga SB. Phytochemical analysis and antibacterial screening of leaves of Diospyros mespiliformis and Ziziphus spina-christ. J Chem Eng. 2012; 1: 57-62.
Dhawan K, Kumar S, Sharma A. Anti-anxiety studies on extracts of Passiflora incarnata Linneaus. J Ethnopharmacol. 2001; 78: 165-70.
El-Nekeety A, Mohamed S, Hathout A, Hassan N, Aly S, Abdel-Wahhab M. Anti-oxidant properties of Thymus vulgaris oil against aflatoxin induce oxidative stress in male rats. Toxicon 2011; 57: 984-91.
Fernandez-Guasti A, Picazo O. Sexual differentiation modifies the allopregnanolone anxiolytic actions in rats. Psychoneuroendocrinology 1999; 24: 251-67.
Ghafoor AO, Qadir HK, Fakhri NA. Analysis of phenolic compounds in extracts of Ziziphus spina-christi using RPHPLC methods. J Chem Pharm Res. 2012; 4: 3158-63.
Glombitza KW, Mahran GH, Mirhom YW, Michel KG, Motawi TK. Hypoglycemic and anti-hyperglycemic effects of Zizyphus spina-christi in rats . Planta Medica. 1994; 60: 244-47.
Hadizadeh I, Peivastegan B, Kolahi M. Anti-fungal activity of nettle (Urtica dioica L.), colocynth (Citrullus colocynthis L. Schrad), oleander (Nerium oleander L.) and konar (Ziziphus spina-christi L.) extracts on plants pathogenic fungi. Pakistan J Biol Sci. 2009; 12: 58-63.
Hong E, Song GH, Kang KB, Sung SH, Ko HJ, Yang H. Anti-Influenza activity of betulinic acid from Zizyphus jujuba on influenza A/PR/8 virus. Biomol Ther, 2015; 23: 34549.
Karimi S, Hejazian SH, Alikhani V, Hosseini M. The effects of tamoxifen on spatial and non-spatial learning and memory impairments induced by scopolamine and the brain tissues oxidative damage in ovariectomized rats. Adv Biomed Res. 2015; 4: 196.
Kheirkhah M, Pour NSV, Neisani L, Haghani H. Comparing the effects of aromatherapy with rose oils and warm foot bath on anxiety in the first stage of labor in nulliparous women. Iran Red Crescent Med J. 2014; 16: 1-9.
Khodami M, Abbasnejad M, Sheibani V, Mobasher M, Mehrabani M, Goodary AA, Salari S. Evaluation of the analgesic and anxiolytic effects of Dracocephalum polychaetum. J Physiol Pharmacol. 2011; 15: 444-54.
Kumarappan CT, Thilagam E, Subhash CM. Anti-oxidant activity of polyphenolic extracts of Ichnocarpus frutescens. Saudi J Biol Sci. 2012; 2: 34955
Naika SR, Bhagat S, Shaha PD, Tarea A, Ingawalea D, Wadekar R. Evaluation of anti-allergic and anti-anaphylactic activity of ethanolic extract of Zizyphus jujuba fruits in rodents. Rev Bras Farmacogn. 2013; 23: 81118.
Parsaeyan N, Rezvani MB, The effect of christs thorn (Ziziphus spina christi) leaves extract on lipid profile, lipid peroxidation and liver enzymes of diabetic rats. Iran J Diabetes Obes. 2014; 6: 163-67.
Rabiei Z, Rafieian-kopaei M, Heidarian E, Saghaei E, Mokhtari S. Effects of Zizyphus jujube extract on memory and learning impairment induced by bilateral electric lesions of the nucleus basalis of meynert in rat. Neurochem Res. 2014; 39: 353-60.
Rector NA, Bourdeau D, Kitchen K, Joseph-Massiah L. Anxiety disorders an information guide. CAMH. 2008; 6: 315-20.
Shawa D, Annettb JM, Dohertyc B, Leslie J C. Anxiolytic effects of lavender oil inhalation on open-field behaviour in rats. Phytomedicine 2007; 14: 613-20.
Yossef HE, Khedr AA, Mahran MZ. Hepatoprotective activity and anti-oxidant effects of Zizyphus spina-christi fruits on rats hepatotoxicity induced by carbon tetrachloride. Nat Sci. 2011; 9: 1-7.
Published
How to Cite
Issue
Section
License
Authors who publish with this journal agree to the following terms:
- Authors retain copyright and grant the journal right of first publication with the work simultaneously licensed under a Creative Commons Attribution License that allows others to share the work with an acknowledgement of the work's authorship and initial publication in this journal.
- Authors are able to enter into separate, additional contractual arrangements for the non-exclusive distribution of the journal's published version of the work (e.g., post it to an institutional repository or publish it in a book), with an acknowledgement of its initial publication in this journal.
- Authors are permitted and encouraged to post their work online (e.g., in institutional repositories or on their website) prior to and during the submission process, as it can lead to productive exchanges, as well as earlier and greater citation of published work (See The Effect of Open Access).