Effect of ginger extract on angiogenesis using CAM assay
DOI:
https://doi.org/10.3329/bjp.v12i3.32616Keywords:
Angiogenesis, CAM assay, GingerAbstract
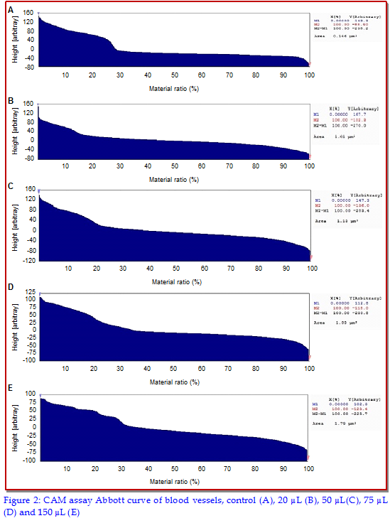
Angiogenesis performs a critical role in the embryonic growth and several pathological conditions in cancer. This study evaluated the anti-angiogenic properties of the ginger extract using CAM assay. Ginger extract was prepared by methanol. Window was made after 5 days of incubation of eggs and the ginger extract was applied on day 6 at different doses (20, 50, 75 and 150 µL). SPIP software was utilized to investigate the CAM region and diameter of blood vessels. Ginger extract proved anti-angiogenic consequence by decreasing the diameter of CAM of blood vessels. Comparable results were attained at dilution of 150 µL. The anti-angiogenic activity of ginger extract implicates its possible application for diseases where inhibition of blood vessel formation is desired.
Video Clip of Methodology:
7 min 32 sec: Full screen Alternate
Downloads
410
267 Read
149

Published
How to Cite
Issue
Section
License
Authors who publish with this journal agree to the following terms:
- Authors retain copyright and grant the journal right of first publication with the work simultaneously licensed under a Creative Commons Attribution License that allows others to share the work with an acknowledgement of the work's authorship and initial publication in this journal.
- Authors are able to enter into separate, additional contractual arrangements for the non-exclusive distribution of the journal's published version of the work (e.g., post it to an institutional repository or publish it in a book), with an acknowledgement of its initial publication in this journal.
- Authors are permitted and encouraged to post their work online (e.g., in institutional repositories or on their website) prior to and during the submission process, as it can lead to productive exchanges, as well as earlier and greater citation of published work (See The Effect of Open Access).