In vitro neutralization of Eachis carinatus and Naja naja venom by Canthium parviflorum and its GC-MS analysis
DOI:
https://doi.org/10.3329/bjp.v11i4.27704Keywords:
Canthium parviflorum, Eachis carinatus, Naja najaAbstract
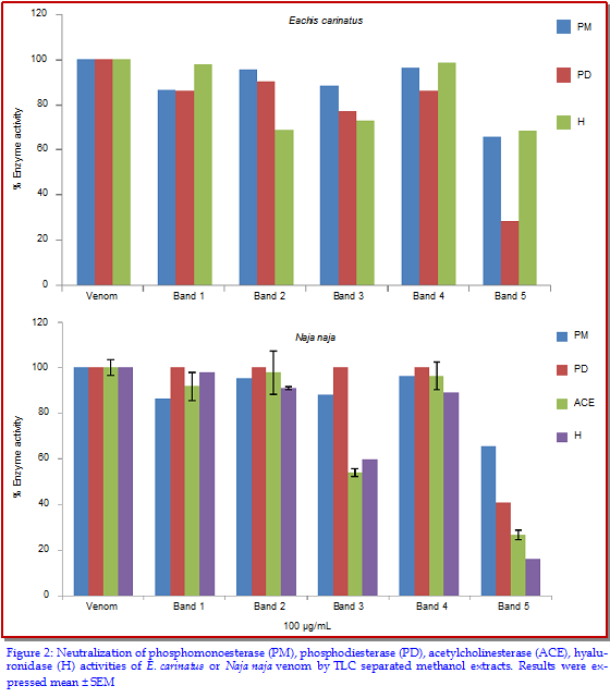
Canthium parviflorum is used in the traditional therapy to treat snakebite victims. In the present study, partially purified methanol root extract of C. parviflorum was used for the neutralization of Eachis carinatus and Naja naja venom. The extract inhibited in vitro phosphomonoesterase, phosphodiesterase, acetylcholinesterase, hyaluronidase, protease, phospholipase A2 and 5nucleotidase activities of both venoms. One of the promising band exhibited neutralization of all the in vitro enzyme activities and was further subjected to GC-MS analysis which revealed the presence of eight active phytocompounds. These phytochemicals might be responsible for in vitro enzyme neutralization. Methanol extract possesses potent active phytochemicals against the site specific toxins and hydrolytic enzymes analyzed.
Video Clip of Methodology:
Phospholipase A2 assay: 1 min 36 sec Full Screen Alternative
Downloads
163
169 Read
33
Published
How to Cite
Issue
Section
License
Authors who publish with this journal agree to the following terms:
- Authors retain copyright and grant the journal right of first publication with the work simultaneously licensed under a Creative Commons Attribution License that allows others to share the work with an acknowledgement of the work's authorship and initial publication in this journal.
- Authors are able to enter into separate, additional contractual arrangements for the non-exclusive distribution of the journal's published version of the work (e.g., post it to an institutional repository or publish it in a book), with an acknowledgement of its initial publication in this journal.
- Authors are permitted and encouraged to post their work online (e.g., in institutional repositories or on their website) prior to and during the submission process, as it can lead to productive exchanges, as well as earlier and greater citation of published work (See The Effect of Open Access).